產品名稱:銅材防變色劑0423
本產品是快速鈍化成膜配方,能夠在3~5分鐘之內快速的在銅件表面形成抗氧化性良好的鈍化膜,保持紫銅件室內存放1年以上不變色。本品屬水基產品,因此非常適合各類銅材在加工轉序中或處理后的防氧化處理。本品采用環保的雜環類有機物合成,無毒無腐、不含鉻酸及亞硝酸等有害物質、具有生物降解性能,完全符合環保要求。
品牌:美貝仕 |
產品:廣東 東莞 |
狀態:液體 |
名稱:銅材防變色劑 |
編號:MS0423 |
外觀:無色透明 |
酸堿性:中 性 |
氣味:無刺激氣味 |
類型:鈍化劑 |
<
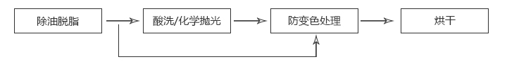
將清潔處理后的銅件浸泡在本防變色劑中,溫度常溫~55℃(一般用常溫,要求高時建議加熱到50℃使用),浸泡3~5分鐘后取出,用清水沖洗干凈后,需要及時烘干或晾干,晾干時工件之間不能重疊,烘干溫度建議不要超過80℃。如果用于工序間防銹則可直接長時間浸泡在本液中。

1 防變色前的清洗或酸洗等工藝必須清洗干凈,必要時進行中和處理后再進行抗變色處理,以免污染本產品 ;
2 產品可采用甩干、晾干或熱風烘干等方式,但注意溫度切記不可太高;
3 如果用于工藝間的防變色處理,基于成本的考慮根據實際情況可將本品按1:1~2配純水使用;